程序员这个工作终究能够干多少年?大多数程序员都以为程序员是个吃芳华饭的工作,编程这个事只精干到30岁,最多35岁吧。常常听到这样的言辞,都让人感到适当的无语……
今日,咱们又来谈这个老论题……
首要,咱们先来看一篇论文《Is Programming Knowledge Related to Age?》(英文版),这篇论文是两个北卡罗纳州立大学核算机科学系的两个人对StackOverflow.com上的用户做了相关的数据发掘得出来的一些数据。
(StackOverflow.com上的数据是揭露的,任何人都能够用来剖析和核算,所以这篇论文的实在性是没问题的)
数据采样和清洗条件如下:(数据全量是1694981用户,均匀年岁30.3岁)
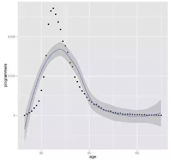
年岁分布图
咱们来看一下他们的年岁分布图:咱们能够看到程序员年岁的正态分布(高点在25岁左右,可是中点在29岁左右)

(小编推荐一个学C语言/C++的学习群:788649720,入群即送C/C++全套学习资料,满满的干货!)
才能和年岁分布图
然后,核算每个人每个月的Reputation,这样能够找到这个用户的真正的活泼时刻,这样便于核算这个程序员的实在才能。(总威望 / 活泼时刻),能够得到他均匀每个月得来的Reputation。
咱们来看看程序员的才能和年岁段的分布图:
上图中咱们能够看到,程序员的才能在从25岁左右开端上升,一直到50岁后才会开端下降。所以说,程序员吃的不是芳华饭。
只有码农,靠蛮力,用膂力而不是用脑力的程序员才是吃芳华饭的人。
年岁大的人是否跟不上新技能
论文的作者用了最近5年内比较盛行的技能Tag,然后用了一套比较谨慎的算法来检查那些所谓的“老程序员”是否在新技能上跟上不了,所谓跟不上,也就是这些老的程序员在答复这些新技能上并不活泼。所谓老,就是37岁以上的程序员。
得到了下表:能够看到,老程序员和年青的程序员关于一些新技能的学习来说也是差不多的,乃至有些项还超过了年青的程序员。

(小编推荐一个学C语言/C++的学习群:788649720,入群即送C/C++全套学习资料,满满的干货!)
定论:论文的定论是:
1、程序员技能才能上升是能够到50岁或60岁的。
2、老程序员在获取新技能上的才能并不比年青的程序员差。
结语
由上面的数据能够看出,因为现在许多的年青程序员太浮燥了,才会说30岁是程序员的高峰。其实,关于大多数人来说,假如还没有编程到30岁,还不能成为一个“合格”的程序员。所以,并不是编程编到30岁就玩完了,而是编程编到30岁才刚刚入门。