【倒计时135天】【每日一练】19考研杨超唐迟类超清视频资料重磅发布!!!立即下载!

考研准备倒计时

同学们,现在是八月份,距离考研还有135天。

 

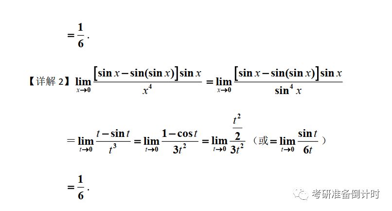
【每日一练】2008年数一极限真题


 

【考研准备倒计时135天】【高数】【杨超】【基础班】

https://pan.baidu.com/s/1eQSWVkB_gJLYVbkjBf2e6w 

密码: 关注公众号【考研准备倒计时】

 

【考研准备倒计时135天】【高数】【杨超】【强化班】

https://pan.baidu.com/s/1dUggpy7iAwsrYfYQx-tjZw 

密码: 关注公众号【考研准备倒计时】

 

【考研准备倒计时135天】【线代】【杨超】【强化班】

https://pan.baidu.com/s/1h40nijtu0uZfruN0xZg5sw 

密码: 4jqb

 

【考研准备倒计时135天】【概率】【杨超】【强化班】

https://pan.baidu.com/s/1INv3lgmCM3KibYyzXLGnvQ

密码: dsyf

 

【考研准备倒计时135天】【高数】【杨超】【直播】

https://pan.baidu.com/s/1ySHbrKR7_5em-A0x3jNfbg 

密码: 关注公众号【考研准备倒计时】

 

【考研准备倒计时135天】【高数】【杨超】【三大计算】

https://pan.baidu.com/s/1zvnITSo9m9VR9rlgCgpMdA 

密码: gmsh

 

【考研准备倒计时135天】【英语】【唐迟】【基础班】

https://pan.baidu.com/s/1fMn50VJ44NjCDv1rWBKuSg 

密码: rkjv

 

【考研准备倒计时135天】【英语】【唐迟】【强化班】

https://pan.baidu.com/s/1X24OcMtOJdaF2-uQDCBW-w 

密码: 关注公众号【考研准备倒计时】

 

【考研准备倒计时135天】【英语】【唐迟】【长难句】

https://pan.baidu.com/s/1rN--mOy_X7TdxSK4u1WOaQ 

密码: 关注公众号【考研准备倒计时】

 

【每日一练】【高数】【2008年数一极限答案】

 

 

 

 

 

阅读更多

更多精彩内容