Bancor协议:通过智能合约为加密货币提供持续流动性

Bancor协议:通过智能合约为加密货币提供持续流动性

推荐评论:在经济学中的资产交易领域有一个经典问题叫做“双重需求巧合”,结合虚拟货币的特点,Bancor将准备金制度引入到货币发行领域,智能合约作为交易对手方,从而将传统意义上的“交易”和流动性隔离开来。当其他去中心化还在着力解决中心化交易所的不足时(例如资金安全、流动性共享、数据透明与监管等),Bancor在创新上迈出了一大步,它提出的一些观点也值得深入思考和探讨,例如流动性网络的连接、价格形成和发现机制、滑点的微积分处理、虚拟货币领域的长尾理论等。EOS的RAM市场采用Bancor改进算法实现,可见BM对这个算法的认可。Bancor是以色列的创业团队发起的。

摘要

Bancor协议为基于智能合约的代币,提供了一种自动化价格形成机制和持续的流动性机制。这些智能代币拥有至少一个连接器,连接器持有其他代币作为准备金。通过智能合约,用户随时可以完成智能代币和连接器代币的互相兑换,兑换的价格由智能合约根据买卖量自动计算得出。

1 介绍

1.1 背景

在我们生活的世界,任何人可以自由地发表文章、发起讨论组、运营电商等。互联网的低门槛,使得用户创作内容和草根参与成为互联网时代本质特征。几个世纪以来,人类社会发行和流通的有价代币有钞票、债券、股票、礼品卡、积分、社区货币等等。2009年,比特币[1]引入了基于密码学共识的去中心化数字货币的概念,随后出现了一波新的数字资产,即加密货币,通俗地称为代币。

代币可以用作服务的使用权、众筹项目中贡献量的证明、分布式应用中的激励、代表某种金融权利、内部流动货币、实物资产的所有权证明等等。代币通常通过智能合约向大众发行,称作发币。智能合约只是一段计算机程序,上链之后,只要底层区块链稳定运行,它可以永久地保持不变地运行。智能合约拥有许多与常规区块链用户相同的功能,例如可以调用其他智能合约,可以对代币进行托管。一个设计优秀的智能合约可以被视为一个可靠、廉洁、完全自动化的中间人。这使得智能合约特别适合于代币的发行和治理这一机械而敏感的任务。

1.2 价值互联网和流动性

尽管代币具有不同的特征和用途,所有代币都抽象地表示某种经济价值。兑换代币逐渐成为世界各地代币所有者日常业务的一部分,从而形成了全球价值互联网。现在价值的连接是通过交易者互相交易的方式实现的,他们可以直接兑换,或者通过三方服务如交易所兑换。

不同于网络交换机之间的可以永远传输数据的电缆,这种通过交易建立的连接是短暂的,这意味着买卖双方必须在合适的时间和地点(虚拟的)同时出现,代币交易才能完成,从而实现价值的传递。要始终在买卖方之间找到匹配,是经济学的一个问题,称为“需求的双重巧合”问题[2]。为了使代币有效地参与全球代币经济(即价值互联网),它的交易量必须跨越一个关键的障碍,即买卖双方之间的匹配变得足够频繁,从而变得可靠。这种交易的可靠性被称为流动性。我们说一种代币具有流动性,是指可以很容易地买卖它,而不会对它的价格产生很大的影响。尽管流动性对最广泛使用的代币来说不是问题,对于购买和出售小规模代币(例如在小众的分布式应用dapps或在本地社区中使用的代币)或仍然很少采用的新代币来说,这是一个重大的障碍。

就像某些人无法访问互联网一样,因为他们住在偏远的地方,提供联网服务无利可图,大量的代币所有者(以及潜在的代币创建者)不能共享价值互联网,因为他们拥有的非流动代币没有足够的“链接”连接到更大的被认为流动的、可以可靠地使用的代币经济体。

在传统的金融市场中,做市商解决这一流动性问题的方法是,即使市场上某金融资产的利息很低,仍然始终提供买卖该资产的报价单。这些通常是大型金融机构,能利用其庞大的资本储备,在市场流动性不足的情况下创造利润,并能够承受严重的流动性不足的风险。他们通过向买卖双方报出不同的价格从而赚取其中差价(称为差价)来获利。

在区块链领域,利用传统的做市商机制来解决流动性问题,不仅违背了该运动去中心化的精神,也将造成在新代币经济中主要资本持有者的金融权力的过度集中。

1.3 长尾现象

今天,市值排名前10%的代币,占了整个代币市场95%的市值,占所有交易量的99%(基于对CoinMarketCap上列出的1000多个代币的分析)。尾部(即剩下的90%)的代币实际上无关紧要。这与许多其他在线生态系统形成了鲜明的对比,在这些生态系统中,尾部逐渐占据了总量的很大一部分,这种现象被称为长尾现象[3]。
例如,在普通书店销量很小的小众书籍,占亚马逊[4]书籍总销量的大约30%到40%。一旦消除了形成长尾的障碍,长尾的形成就开始了。YouTube使上传和观看视频变得简单。博客平台让人们更容易发布他们的文章。创造一个流动性代币的简单方式,是用户创造的货币出现长尾的障碍。

1.4 Bancor流动性网络

在这篇白皮书中,我们提出了Bancor网络的分布式流动性,基于Bancor协议,利用智能合约直接将流动性构建为代币本身。这类代币我们称之为智能代币,总是可以通过它们的智能合约直接购买和出售。换句话说,代币的管理系统总是向买家出售代币,并从卖家买回代币。每个智能代币都有一个或多个连接器,它们将智能代币连接到网络中的其他代币。这些连接器持有另一个代币作为准备金,从而在智能代币和它的连接器持有的代币之间建立关系。智能代币连接器使用一个公式(下面详细说明)来建立智能代币和它的连接代币之间的价格关系。连接器保证金用于以算法计算的价格为智能代币和其连接任何代币提供流动性。

所有智能代币都是与ERC20兼容的代币,这意味着它们的功能与任何支持现行标准ETH代币的系统或服务是兼容的和一致的。智能代币标准的结果是一个不断连接的价值互联网,因为每个代币都自动地维护与代币经济其余部分的流动性链接。通过提出一种现代的、高效的、自动化的解决流动性不足问题的解决方案,我们相信Bancor协议可以成为一种支持用户创造代币的长尾技术,因此,为数以百万计的小规模、用户创造的货币的多样化经济铺平了道路。这种多货币模式是可以扩展的和分布式的。

2 智能代币

2.1 非盈利的自动化做市商

智能代币是Bancor协议的核心。它们的运作类似于常规代币,在ETH区块链[6]上使用的符合ERC20标准[5],但也要包含额外的逻辑,即允许用户通过它的智能合约直接购买和出售代币,价格通过程序自动调整以反映供求关系。实际上,智能代币拥有一种内置的流动性机制,确保它们可以持续地为兑换为其他代币。

为了实现这一点,每个智能代币都配置了连接器模块,这些模块持有它连接的另一个代币作为准备金(例如,BNT智能代币有一个连接到ETH的连接器,它持有ETH作为准备金)。购买者可以使用任何连接的代币来购买智能代币,将其发送到智能代币的合约中,然后合约将它们添加到连接器的准备金中,并返回新的智能代币,这些新代币将自动发送回买方。换句话说,任何人都可以通过将一定数量的连接代币存入智能合约来购买智能代币。
在这种情况下,新智能代币发行出来,智能代币的连接器准备金和智能代币的供应量都增加了。类似地,卖方可以向智能合约发送一定数量的智能代币,然后合约将这些智能代币从流通中移除,并从连接器准备经中提取相应数量的连接代币,并将它们发送给卖方。在这种情况下,连接器准备金和智能代币的供应都减少了。为了知道发行给买方的数量和卖方提取的数量,智能代币根据供求关系,不断重新计算它相对于每个连接代币的价格。Bancor公式(详细说明如下)通过在智能代币的市值和它的连接器准备金之间保持一个固定的比率(在下面讨论权重)来实现这一点。
智能代币的适应性供应(回想一下,它是在购买时发行新的,在出售时从流通中移除)是独特的,使供应量能够根据需求调整(不影响单位价格),并使智能代币是持续可以购买的。在未来,Bancor协议还将使用传统的固定供应量来标准化智能代币配置。

虽然允许代币发行和移除自己(增加和收缩供应量)可能听起来不太靠谱,但是这个逻辑通过软件运行在一个不可变的区块链上的透明的(可公开查看的)智能合约中。此外,只有某个连接器(通过购买)的代币准备金增加时,智能代币的供应量才会以编程方式增加,从而确保智能代币总是与另一个代币的市值以一定比例关联,从而防止不可预料的通货膨胀。

目前,智能代币可以通过其智能合约,在其连接器中持有ERC20代币的准备金,从而连接到任何符合ERC20代币。这使得Bancor协议向后兼容了现有的大部分代币。将来,计划对智能代币进行升级,以便跨各种区块链连接代币。

实际上,智能代币扮演着完全自动化的和分布式的做市商的角色,通过在基于区块链的网络架构中操作,可以实现有效的、自主的代币兑换通道,并且不依赖于现有的人工的(例如手工提交)交易方式及随之而来的逐利动机。

2.2 连接权重

如上所述,连接器的权重代表智能代币的总价值(其供应量*单价)和连接器的准备金之间的一个固定比率。智能代币的创建者为每个连接器定义所期望的比率。当连接器准备金和智能代币的总价值(有时被称为“市值”)随着买卖而波动时,Bancor公式保持这个比率是固定不变的。
因为每次购买或出售智能代币都会导致连接器准备金和智能代币的增加或减少,为了保持连接器权重恒定不变,即创建者配置的比率,智能代币的价格相对于连接代币的价格将会被不停地重新计算。这个比率决定了一个智能代币的价格需要调整多少,才能使得这个比率在每笔交易中保持不变,换句话说,就是价格敏感性。连接器准备金和智能代币之间的比率越高,价格敏感度就越低,这意味着每次买卖都会对智能代币的价格走势产生相对较弱的影响。连接器准备金和智能代币之间的比率越低,价格敏感度就越高,这意味着每次买卖都会对智能代币的价格走势产生相对较大的影响。可以说,较高的权重会导致智能代币相对于连接代币的价格相对稳定,较低的权重会导致智能代币的相对于连接代币的价格相对波动。第3节进一步阐述了定价算法,并根据智能代币的期望性质选择连接器权重。

智能代币连接器可以被视为分布式、自主、透明和可预测的做市商,而不是交易所。智能代币通过程序自动调整它们的价格,来管理它们的连接器准备金,以保持它们与智能代币的总市值之间的比率是恒定的。

由于他们的逻辑是透明且不可变的,购买或者出售代币导致的价格变化是可以预测的,最终导致了更稳定的代币价格。这种公式化的机制使智能代币成为调整供求关系的可靠中介。

2.3 代币网络

智能代币可以实现自己和它们的连接代币之间进行即时兑换。这个功能足以使智能代币即时兑换为一定数量的以类似的方式连接到同一网络的任何其他代币。换句话说,智能代币可以立即通过网络兑换为它的任何一个连接代币,也可以兑换为到它的任何一个连接代币的连接代币,以此类推。

例如,假设一个智能代币ABCCoin有一个连接器,该连接器持有XYZCoin作为准备金。此外,假设另一个智能代币NEWCoin也有一个连接器,该连接器持有XYZCoin作为准备金。这样,一个用户可以首先将ABCCoin兑换成XYZCoin,然后将XYZCoin兑换成NEWCoin,从而将ABCCoin兑换为NEWCoin。用户只需要一个操作,这可以在后台无缝地完成。

此外,NEWCoin本身可能会连接到其他代币,从而扩展了连接范围。通过这种方式,智能代币可以连接到无限数量的代币,从而创建一个分布式的流动性网络,该网络可能由数百万个代币组成,这些代币都可以以不断计算的价格自动地相互兑换。

3 定价算法

3.1 价格公式

Bancor算法定价公式对于系统的设计和潜力至关重要,因为它使智能代币的价格是可靠的和可预测的,这对于代币的大规模使用是至关重要的。
它建立在前一节中介绍思想上,即智能代币保持其总市值(总供给×单价)和其连接器的准备金的比率是一个恒定值。我们称这个比率为连接器权重,简称为CW。

这里写图片描述

智能代币的总价值,即它的市值,是指以当前价格出售全部代币(整个智能代币供应量)所能获得的金额。智能代币的价格以连接代币表示(例如,BNT的价格以其连接代币ETH表示)。

这里写图片描述

这些关系是Bancor定价算法的关键,因为它们使得系统将智能代币的价格作为其CW、连接器准备金和智能代币供应量的函数进行代数求解。

这里写图片描述

在任何给定的时间,每个连接器总会准确无误地记录准备金余额和智能代币的供应量,所以它只需要知道CW就可以不断计算智能代币的即时价格,即使其连接器准备金会不断变化(与买卖以及连接代币价格波动联动),同时供应量也会总是变化(当买卖发生时,通过存入或者提取连接器保证金)。
CW表示为大于0%和高达100%的百分比,如前所述,最初是由创建者在配置智能代币时设置的。为CW选择的值对代币的定价有重要的影响,也可以根据智能代币的设置进行更改。

3.2 不同连接器权重与供需关系

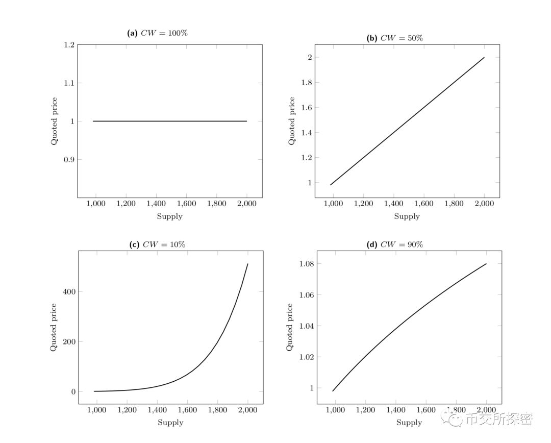
图1显示了智能代币的价格,对CW的不同值的变化。我们简要讨论一下插图案例:

这里写图片描述

(a)第一种情况是CW = 100%,在这种情况下,不管需求如何变化,智能代币的价格完全跟随于连接代币准备金的变化,两者的相对值不会发生变化。价格实际上与其连接代币的准备金挂钩,智能代币成为该值的一种代理。这可以比作金本位,一种货币制度,发行机构承诺将货币兑换成一定数量的黄金。例如,直到1971年,美元一直以每盎司35美元的汇率盯住黄金。

(b)第二个线性情况是CW = 50%,其中智能代币价格随供应量线性移动(随着连接器准备金而增长或收缩)。 当智能代币的需求较低时(即当出售量大于购买量时),智能代币价格会下降;当需求量较高时(即当购买量大于出售量时),智能代币价格会上涨。这种关系是供求关系的典型运作方式,唯一的例外是,智能货币的供应不是固定的,而是由需求决定的,而且在价格上涨时也不会稀释单位价格。

(C)第三个非线性的例子是,CW在0%到50%之间,这显示了价格和供给之间的相似增长关系,但是随着供给的增加,价格曲线增长得更加迅猛。图表显示了CW = 10%的特定价格曲线。低于10%的CW会比这个反应更强烈(更尖锐的指数曲线),而高于10%的CW会随着接近50%而相对地趋于线性(b)。

(D)最后一种非线性情况,CW在50%到100%之间,其中价格和供应之间的增长关系曲线增长力度不及(b),这意味着智能代币的价格对供应变化的反应越来越少,直到达到我们在(a)中看到的持平的100%关系。具体图表显示了CW = 90%的价格曲线。

从理论上讲,智能代币也可能具有大于100%的CW,但是,这是代币随着需求增加而变得更便宜的特定情况,并且超出了本讨论的范围。

3.3 处理价格滑点

在上面,我们开发了在任何给定时间点确定智能代币价格的公式。但正如图表所示,当购买或出售智能代币(从而增加或减少它们的供应)时,它们的价格会变动!事实上,即使是最微小的交易,也会将智能代币的价格提升到一个新的水平,这意味着,如果买家将自己的订单分成许多小的交易,那么她将获得不同的价格。
要解决这个问题,当需要计算实际的兑换价格时,我们以收到的一定数量的代币(可以是买方的连接代币或者买方的智能代币),计算智能合约应该返回给买方(以新发行的智能代币形式)或者卖方(以从准备金中提取的连接代币的形式)的代币数量。

这里写图片描述

这个公式通过将一个交易视为许多无限小的交易的结果演算而来,每个交易影响智能代币的供应量和连接器的准备金,从而累加每个价格增量导致了的新价格。给定的交易规模的实际价格是交易规模的每一个无限小增量对价格产生相对影响后的最终价格。这里有一个正式的数学证明。该公式对于买卖订单都是类似的,其中我们推导出要向买家发行的智能代币的实际数量,或者智能合约收到一定数量的智能代币后从连接器准备金(卖方)中提取代币数量。

这里写图片描述

我们现在可以使用一个交易中每个连接代币可兑换的智能代币的数量来计算有效价格,即智能代币相对连接代币的价格。有效的价格对不同的大小的交易和不同的连接器代币(多个连接器的情况)是不同的。

这里写图片描述

有效价格具有可以预期的性质,即10个小的交易或1个累积金额相同的大的交易,成本是完全相同的。

3.4 价格举例

举一个例子,智能代币目前的发行量是1000枚,连接代币准备金是250枚,CW是50%。智能代币和连接代币的兑换价格如下:

这里写图片描述

假设买方花费10枚连接代币,他将得到多少枚智能代币呢?

这里写图片描述

我们兑换10枚连接代币,根据得到的智能代币数量,我们可以演算出有效价格。

这里写图片描述

请注意,有效报价与报价不同,在本例中略高一些。这种差异是由于上一节解释的特定规模交易的价格划点造成的。换句话说,通过增加连接器准备金和智能代币供应量,10个代币中的每个无限小的增量单位都将导致价格上涨的压力。实际上,买家已经为自己的交易导致的价格下滑付出了代价。在将代币发送到智能合约之前,买方可以执行这些计算,从而准确地估计兑换将如何根据它的兑换而变化。价格滑点的可预测性和一致性是Bancor公式的关键优势。

3.5 异步流动性

当智能代币处理兑换时,价格将在买卖量之间趋于均衡。在经典的交易模型中,为了实现买方双方的互相匹配,必须要有足够的流动性,这样买卖订单在任何时候都可以可靠地匹配上。Bancor协议没有这样的要求,因为智能代币总是通过连接器准备金来完成买卖兑换操作,因此从时间上看,价格计算是连续的。针对每笔交易的价格计算是独立的(当买方和卖方匹配时),智能代币的每次兑换都会逐步并直接影响其价格。这使得Bancor的价格形成机制是真正异步的。

3.6 通过套利平衡价格

智能代币也可以在不同的交易所进行交易,在这些交易所,它们的市场价格可能与智能代币的报价存在差异。由于智能代币合约没有观察和引入外部世界价格的功能,因此智能代币的价格可能存在碎片化的风险。但是,这种情况不太可能持续很久,因为它构成了一个明显的套利机会。例如,如果市场价格高于智能代币的报价,任何人都可以从智能合中购买并在市场上出售,直到价格持平。套利能力有效地激励市场参与者在智能代币和外部价格之间建立价格共识。

同样值得注意的是,只有在直接与智能代币合约交互时,才会存在发行新代币和增加智能代币供应量的功能(当连接的代币准备金增加)。在外部交易所上市、买卖或直接在人与人之间转账代币,不会触发此功能,而是使得现有代币流动起来。尽管如此,由于上述套利机制,现有流通中代币的价格将对智能代币报价产生影响。

4 智能代币的优点

智能代币是代币市场的一种新范式,因为它们结合了自动化和分散的代理,不知疲倦地以反映数学的供求关系的价格填写转换订单,并实时适应转换大小。这比传统的基于交易的交易有很多优势:

智能代币是代币市场上新的范例,因为它们结合了自动化和分布式代理,能够以反映数学的供需的、实时适应于兑换数量的价格不断填写兑换订单。与传统的基于交易的兑换相比,这带来了许多优势。

持续的流动性 即使市场上只有很少或没有其他买家或卖家,用户可以通过智能合约直接在网络中购买或出售代币。由于价格会根据兑换规模进行调整,因此总会形成一定的兑换价格。Bancor协议有效地使得流动性与交易量不再关联。

无内置费用 默认情况下,智能代币合约不会对执行的兑换收取费用。用户产生的唯一费用是与底层区块链(例如,以太坊上的GAS)进行交互所需的费用。虽然智能代币创建者可以为某些智能代币的兑换设置可选的使用费(称为贡献),但这些费用可能会非常低,因为Bancor协议的开源特性,其他用户轻松创建相互竞争的智能代币来提供相似的兑换服务,并收取更少的费用。Bancor协议不需要对兑换收费来获取营业利润,而是随着代币网络的扩大和用户数量的增长,从被广泛使用后获益。

可调节的价格敏感度 大额的连接器代币准备金和比较高的CW,产生的杠杆作用,使得智能代币的价格对短期投机或大订单引起的突然波动不太敏感。例如,具有10%CW的智能代币与具有等于代币的整个市值的10%的订单簿的交易所敏感程度相当。可以通过CW和连接器准备金调整此灵敏度,以达到想要的智能代币的表现。

没有价差 在处理买入和卖出订单时,Bancor公式使用相同的价格计算方法。这与购买价格始终低于卖出价格的传统交易所形成对比。买入和卖出价格之间的差异,即差价,是传统做市商赚取的利润。如上所述,Bancor协议不需要这种利润以维持运营,并且可以引入分散的利差以鼓励采用bancor网络,使所有参与者受益。

价格可预测 智能代币的价格算法是完全透明的,允许用户在执行兑换之前预先计算其兑换的有效价格。这与传统的基于订单簿的交易形成对比,其中大订单可能导致价格无法预测地滑落到显着不同的水平。

基于ERC20 智能代币是符合ERC2标准的代币(虽然具有额外的功能),可与现有代币应用程序(如钱包或Dapps)无缝集成,因为它们符合流行的ERC20代币标准。此外,任何现有的ERC20标准代币都可以通过带有两个连接器的智能代币连接到Bancor网络,使Bancor协议向后兼容现有的ERC20代币。我们在下面的第6部分详细介绍了各种智能代币配置。

5 智能代币的用例和含义

我们相信Bancor协议的独特属性使其对各种用例具有吸引力,这些用例包括为现有代币提供更可靠的交易基础设施,促进小型代币的长尾,以及实现全新形式 创新的代币市场举措。在以下部分中,我们将更深入地探讨一些问题。

5.1 更具可扩展性和可靠性的代币市场

提供了分布式流动性的Bancor代币网络可以用作中心化交易所的替代方案,对于连接到这个网络的代币具有许多积极影响。例如,具有两个连接器的智能代币,其总CW恰好为100%,其功能类似于分布式代币兑换币对。我们将这种智能代币称为中继代币。(我们将在后续章节中详细说明这个和其他独特的智能代币配置。)中继代币允许用户在两个连接代币之间互相兑换,通过两步操作实现,即购买一种代币,立即出售另外一种代币。基于定价算法,这将导致中继代币的价格相对于第一个连接代币(由于购买)而上升,并且相对于第二个连接代币下降(由于出售),完全符合预期。如前所述,中继代币相对于连接代币的报价不太可能与外部交易所的价格长期存在显着差异,因为套利机会激励套利者缩小其中的价差。这种特殊的智能代币配置允许不符合Bancor协议(即没有连接器)的现有标准代币变得向后兼容(即,可以通过中继代币自动兑换网络中的任何代币),从而增加Bancor流动性网络的可行性和连接能力。

此外,当通过智能代币兑换代币时,用户不直接与交易对手打交道,也不需要将代币存入交易所,从而降低了被黑客劫持或者交易所业务模式导致延时的风险。这与MtGox和Bitfinex(作为示例)所经历的痛苦形成了鲜明的对比,包括用户账户被盗取了价值数亿美元的加密货币,以及代币无法及时从交易所提现。 通过在一个分布式的、自主的和低成本的网络中汇总流动性,用户可以从当今互相割裂的以营利为目的的交易所环境中获得更大、持续的流动性和相对价格稳定性。

5.2 小规模代币的长尾现象

智能代币为流动性问题提供了一种创新的解决方案,可以防止小规模代币或新代币出现长尾现象(参见第1节)。 回想一下,缺乏足够数量的买家和卖家意味着目前存在的绝大多数代币几乎没有任何波动。尽管小规模代币具有许多实际产业用例,例如众筹,本地商务,社区协作等。

例如,音乐家通过可以发行代币,并且承诺发行的专辑只能以该代币购买,来筹集资金。她可以发起众筹活动,她根据捐款的大小向支持者发放代币。在活动期间贡献1%捐款的支持者将获得1%的可用代币。如果专辑成功,则对此代币的需求将会增加。

等到专辑发行的时候,代币的波动已经平缓了,初始支持者很少愿意出售其持有的代币。在今天的小规模代币流动性不足的市场中,对这张专辑感兴趣的人很可能无法购买到所需的代币来购买专辑。由于Bancor智能代币随时都可以买卖,潜在的专辑买家通过它可以随时获得所需的代币,价格根据当前的买卖量通过数学计算得出。尽管买家能够从合约中购买智能代币,而不是仅从卖家那里购买智能代币,现有的智能代币所有者不会错过,因为当计算出来的价格对他们来说很有吸引力的时候,他们反过来可以将智能代币卖回智能代币合约。这突出了Bancor协议的真正的异步流动性性质。

还有许多其他小项目的例子,可以从用户用户创造的代币中收益,包括激励人们参与到本地社区的社区代币,以及用户优先使用有效资源(如计算能力)的平台代币等。事实上,随着智能代币的使用促进了成千上万的不同代币的长尾的兴起,我们肯定会见证许多或大或小的用户创造的代币的新颖应用。今天,所有这些潜在的创新都被缺乏自主的和异步的流动性所扼杀,这实际上是一个先有鸡还是先有蛋的困局,代币创造者需要预先确保一定的交易量,以便为初期支持者的交易活动提供足够的流动性。

5.3 实现全新的代币应用

智能代币不仅可以帮助解决当前的问题,包括安全代币兑换、初始发行和连续流动性问题,还可以在新兴的区块链世界中实现全新的应用。

考虑一个智能代币作为代币组合的例子,它持有多个连接器,这些连接器的CW综合为100%,它可以有效跟踪给定(和用户配置的)其他代币集合的加权平均结果。套利者可以确保智能代币的价格与外部市场同步,这意味着智能代币的价值将始终是最新的。这些智能代币使用户不需要通过中间金融服务机构,就能够直接持有此类组合代币。

另一个例子可能是分布式应用的智能合约需要有关代币价格的信息。这通常依赖于可信的第三方将信息转发到区块链上,但是使用Bancor协议,这些智能合约可以直接从智能代币合约查询当前价格。智能代币充当了链上价格预告,从而无需从外部输入。

类似的,现在不依赖于第三方,即可互相交换服务(由代币表示)的分布式应用成为可能。例如,通过使用Bancor的兑换机制,将两个使用不同代币支付的不同服务集成到一起是可能的。

这些只是我们发现的新模型中的一些例子,因为随着流动性障碍和其他障碍减少或者消失,例如发行代币的技术难度,长尾代币将会涌现。

6 智能代币配置

随着新的配置不停出现,智能代币出现了多种类别:带有一个连接器、两个连接器或者两个以上连接器的智能代币;总连接器CW权重为100%或低于100%的智能代币;带有一个未激活连接器的智能代币。虽然所有智能代币共享某些属性,但任何这些配置的组合都具有一些不同的属性。

具有组合连接器总权重低于100%(更典型的低于20%)的智能代币成为流动性代币。可能有一个或者多个连接器。例如,BTN具有单个权重为10%的ETH连接器。流动性代币可以使用连接器代币买卖(使用Bancor公式计算它相对于连接代币的价格),并且可以自适应调节供应量,在购买时增加,出售时减少。

总连接器权重为100%的智能代币可以有一个、两个或者多个连接器。具有一个连接器占100%权重的智能代币称为代理代币;具有两个连接器权重为100%的智能代币称为中继代币;具有三个或者更多连接器权重为100%的智能代币称为组合代币。可以使用任何一个连接器代币买卖代理、中继和组合代币(使用Bancor公式计算它们相对于连接器代币的价格)。并且可以自适应地调整供应量,在购买时增加,出售时减少。代理、中继和组合代币中的连接代币,可以是其他智能代币,或者固定发行量的ERC20代币,这使得现有的ERC20代币向后兼容Bancor网络。

具有单个尚未激活连接器的智能代币(当前连接器准备金为0),被称为糖果代币。可以向早起持有者(例如社区支持者)发放将来会发行的代币。未来,存放连接器保证金,糖果代币将转变为流动性代币,并且可以兑换为连接代币。

由多个智能代币持有作为连接代币的智能代币,称为网络代币(详见第8节)。 例如,由于许多智能代币在其连接器中持有BNT以便与Bancor网络集成,因此BNT可称为网络代币。它同时也是一个流动性代币。

7 Bancor生态系统

Bancor网络提供分布式流动性成功与否,取决于各种类型不同用户的参与。我们将简要概述参与者在Bancor生态系统中可以发挥的关键作用。

交易者 持有、兑换和支付智能代币的终端用户

智能代币发行者 发行智能代币,配置初始供应量、价格、连接器权重CW和管理智能代币初始发行的人员、公司、社区、组织或基金会。还包括将现有ERC20代币连接到Bancor网络的中继代币的创建者。

资产代币化者 将代理代币或者组合代币映射到实体资产或者其他区块链上代币的创建者。这允许智能代币连接到更广泛的资产,如比特币、法定货币、黄金或其他新兴的区块链代币。

套利者 监控Bancor流动性网络与外部交易所或者其他智能代币的价格,并且通过套利消除价差的交易者。套利者通过消除价差获得奖励,因此是Bancor生态系统的重要参与者。有关Bancor协议中套利机制的进一步说明,请参见第3.6节。

8 Bancor网络代币

8.1 网络代币

在2.3节中,我们描述了具有两个连接器的中继代币如何允许一个连接的代币兑换为另一个连接的代币,通过两个步骤:使用一种连接器代币购买中继代币,并将中继代币出售给另一个,以换取另一种连接器代币。如上所述,这个两个步骤将允许网络中的任何代币可以兑换为任何其他代币,只要它们在任意远的距离上具有至少一个共同的连接连接。我们将公共连接代币称为网络代币,因为它将许多不同的智能代币连接在一起形成一个代币网络。

根据本文所述的Bancor公式自动化价格机制,网络代币使其网络中的所有智能代币互相可兑换,充当“代币的代币”。在这样的网络中,任何代币购买量的增加,都会导致网络代币的增加(因为子代币的增加是通过网络代币存入连接器保证金实现的)。对网络代币供应量的上行压力,发过来影响网络中每个代币的供应量,因为他们自己的连接器代币保证金增加了。

网络代币模型创建了网络中智能代币成员之间的协同关系。可以与以太坊类比,任何一个成功的以太坊服务提升了以太坊的价值,从而使整个以太坊平台和生态受益。对于这样的网络模型存在许多用例,包括在局部网络使用的社区货币,网络游戏工作室发行的所有游戏中共享的信用体系,由多个独立企业支持的联合忠诚度计划等等。网络代币也可以通过其自己的连接器成为其他网络的一部分。

8.2 BNT代币发行

推出的第一个智能代币是Bancor网络代币(BNT),它是中继器性质的网络代币,用于连接Bancor网络中的所有代币。BNT目前只有ETH一种连接器,权重CW是10%,由Bprotocol基金会管理,这是一个瑞士非营利组织,其核心目标是将Bancor协议作为智能代币的全球标准推广,智能代币可以通过Bancor网络进行内部兑换从而形成自动的分布式的流动性。

BTN代币发行(发生在2017年6月12日)募集的资金用户培养基于Bancor协议的代币和应用构成的健康生态。为了鼓励采用新的智能代币,以通过上述说的网络效应加强现有的BNT社区,利用BTN作为其连接代币的新的智能代币将有资格获得Bprotocol基金会的支持。

8.3 募资的分配

为了透明和完全公开,BTN代币发行募集的ETH按照不同用途做了分配,如下所述:

  • 20%作为BTN代币的连接器ETH代币的准备金,从而有力地支撑了10%的初始连接器权重;
  • 40%用于开发Bancor协议和周边技术。这包括在现有或者未来区块链上实现Bancor协议智能合约,已经为方便终端用户使用这些智能合约提供用户友好的应用,例如智能代币钱包、智能代币创建和管理页面、智能代币市场和搜索门户、创建中继代币、智能代币治理和数据报告等。
  • 12%用于Bancor协议的市场拓展,以及发展Bancor生态系统,例如支持Bancor网络中具有创新性和战略意义的智能代币项目,以及提高相关人士对Bancor协议和Bancor的理解和认知。这些努力会在Bancor网络形成一个强有力的社区,同时会加快用户创造的代币的长尾的发展。
  • 10%用于为流行的ERC20代币建立中继代币和组合代币的例子,以及基于以太坊平台上的代理代币例子,这些代理代币用于将来自其他区块链和各种现实资产的加密货币集成到Bancor网络中。
  • 18%的运营成本,包括法律费用和其他管理费用。

BNT智能代币的初始发行量,一般分配给了参与募资的出资人,另一半由Bprotocol基金会持有并作为长期预算(锁定期两年),现在的以及将来的团队和顾问(分两年归属),合作伙伴(分两年归属),为了激励社区长期采用Bancor协议发放的社区补助金。如下图所示:

这里写图片描述

9 总结

新兴的区块链经济,有潜力形成一个由数百万个创新的、小规模的、用户创造的代币组成的价值互联网。实现这个多样化和有弹性的未来,需要解决的首要障碍是,确保每个代币无论数量大小,都有足够的流动性。在本白皮书中,我们提出了基于Bancor协议的分布式流动性网络,该协议基于一种称为智能代币的新型代币的标准,通过为智能合约增加自发的低成本的做市商功能,来提供持续的流动性。基于连接代币准备金和智能的开源公式,智能代币可以与它连接的任何其他代币,以可以提前预测的价格兑换。

从整个系统的层面看,智能代币组成了一个互相连接的智能代币自治网络。这种创新架构使得任何代币可以无视流动性问题,自由地兑换为其他代币。从而为整个代币生态系统带来了网络效应。

Bancor协议推动了资产交易领域的发展,它引入了一种解决方案,可以解决由于需求的双重符合导致的小规模代币的流动性问题。
该解决方案构成了目前由传统金融市场和交易所的专业做市商使用的基于劳动力模型的可靠而全面的替代方案。

10 致谢

我们对在撰写本文时支持我们的许多人表示感谢。 特别感谢Meni Rosenfeld,Yudi Levi,Amatzia Benartzi,Ron Gross,Assaf Bahat,Sefi Golan,Joshua Alliance,Brian Singerman,Adi Scope,Dory Asher,Tal Keinan,firmo.network, Wings.ai, TheFloor,Arie Ben-David来自以色列货币变革运动,Ithacash的Scott Morris,Benjamin Egelund-Müller以及Blockito和Blockchain Labs的团队,以及Bancor团队,Ilana,Asaf,Or,Omry,Itay和Mati。 您的支持和反馈对我们改进本文档非常重要。 谢谢。

参考文献

[1] Satoshi Nakamoto. Bitcoin: A Peer-to-Peer Electronic Cash System, 2009. URL
http://www.bitcoin.org/bitcoin.pdf.

[2] Wikipedia. Coincidence of Wants, . URL https://en.wikipedia.org/wiki/Coincidence_of_wants.

[3] Wikipedia. Long Tail, . URL https://en.wikipedia.org/wiki/Long_tail.

[4] Erik Brynjolfsson, Yu Jeffrey Hu, and Michael D. Smith. From Niches to Riches: Anatomy of the Long Tail. Sloan Management Review, 47(4):67–71, 2006. URL http://sloanreview.mit.edu/article/from-niches-to-riches-anatomy-of-the-long-tail/.

[5] Fabian Vogelsteller and Vitalik Buterin. ERC-20 Token Standard, 2015. URL https://github.com/ethereum/EIPs/blob/master/EIPS/eip-20-token-standard.md.

[6] Vitalik Buterin. Ethereum White Paper, 2014. URL https://github.com/ethereum/wiki/wiki/White-Paper.

币雾区-穿越套路迷雾,加作者好友,进虚拟货币交易所深度交流群。

这里写图片描述

阅读更多

更多精彩内容